티스토리 뷰
목차
마포자이힐스테이트 라첼스 아파트는 대단지 아파트로 역세권에 학군지라고 할 수 있습니다. 곧 청약접수가 시작되는데요. 청약 전 꼭 알아야 할 정보들을 모았습니다.
마포자이힐스테이트 라첼스 아파트 입주자 모집공고
마포자이힐스테이트 라첼스의 최초 입주자모집공고는 2024. 6. 21.로 특별공급과 1순위 일반공급의 중요한 조건인 청약통장 지역별, 면적별 예치금을 만족하는 날짜의 기준이기도 합니다. 2024. 6. 27.에 유상옵션 가격 변동으로 수정 공고가 나왔습니다. 아래 입주자 모집공고문으로 모든 정보를 확인하실 수 있습니다.
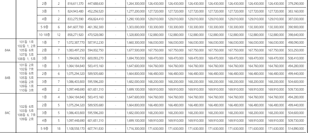
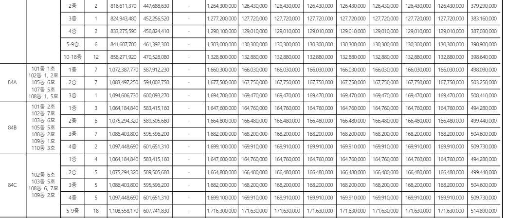
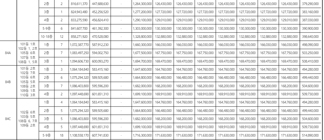
마포자이힐스테이트 라첼스 아파트 분양가/유상옵션
마포자이힐스테이트 라첼스 아파트는 2014년 대단지 이웃 아파트 시세와 비슷한 분양가로 나왔습니다.
✅ 분양가 요약
| 59타입 분양가 | 12억 6,300만 원 ~ 13억 4,000만 원 | 
| 84타입 분양가 | 16억 4,140만 원 ~ 17억 4,500만 원 | 
| 114타입 분양가 | 21억 4,150만 원 ~ 21억 9,140만 원 | 
✅ 발코니 확장비
✅ 시스템에어컨

마포자이힐스테이트 라첼스 아파트 평면도/단지배치도
천 세대가 넘는 마포자이힐스테이트 라첼스 아파트는 전용 59부터 114까지 평수가 다양합니다. 25평, 34평, 45평이며 판상형, 타워형 등 다양한 타입 종류가 있습니다. 동호수 단지배치도도 꼭 확인해보세요.
또한 마포자이힐스테이트 라첼스 아파트는 비규제지역 민영주택 청약으로 주변시세와 비교해서 분양가가 어떤지, 그리고 입지환경은 어떤지 다시 한번 체크해 보시고 청약하시길 바랍니다. 아래 링크를 통해 확인하세요.
마포자이힐스테이트 라첼스 아파트 모델하우스/현장위치
6월 28일부터 오픈한 마포자이힐스테이트 라첼스 아파트의 모델하우스(견본주택)의 위치와 현장위치를 확인하세요.
사이버 모델하우스도 보실 수 있습니다. 아래 링크에서 모두 확인 가능합니다.
마포자이힐스테이트 라첼스 아파트 특별공급/일반공급 청약조건
7월 1일 월요일은 특별공급 청약일입니다. 7월 2일은 일반공급 1순위, 7월 3일은 일반공급 2순위 청약입니다. 청약 전 어떤 공급 조건으로 청약할지 정하셨다면 한번 더 청약 자격 조건을 확인하시길 추천합니다. 잘못 알고 있다가 사고날 수 있으니까요. 또한 같은 날 청약하는 과천의 시세차익 4억 이상의 과천 디에트르 청약도 함께 보시기 바랍니다.















	





